脑损伤危重患者肠内营养的半元素配方与聚合配方:一项随机试验

  摘要:背景:半元素肠内营养在特性理论上可能会改善已知患有胃轻瘫的脑损伤患者的胃肠道耐受性。本研究的目的是比较半元素配方与聚合配方在脑损伤危重患者中肠内营养 (enteral nutrition ,EN) 的疗效和耐受性。方法:本研究为前瞻性随机研究,纳入患者为预期机械通气时间 > 48 小时的脑损伤成人患者 [格拉斯哥昏迷评分 (GCS) ≤ 8]。干预措施:肠内半元素(semi-elemental group,SE 组)或聚合(polymeric group,P 组)配方。在入住重症监护病房后 36 小时内开始给予EN,并根据护士主导方案标准化实施。主要终点是第 3 天达到每日能量目标 60% 和在第 5 天达到每日能量目标 100% 的患者百分比。通过胃轻瘫、呕吐和腹泻的发生率评估EN 的耐受性。结果:SE组 和 P 组分别分析了 100 和 95 名患者:两组之间年龄(57[44-65] VS 55[40-65] 岁)和 GCS(6[3-7] VS 5[3-7])没有统计学差异。达到主要终点的患者百分比相似(分别为 46% 和 48%;相对风险 (relative risk, RR) [95% 置信区间 (CI)] = 1.05 (0.78–1.42);p = 0.73)。平均每日能量摄入量分别为 20.2 ± 6.3 和 21.0 ± 6.5 kcal/kg/天 (p = 0.42)。蛋白质摄入量分别为 1.3 ± 0.4 对 1.1 ± 0.3 g/kg/天 (p < 0.0001)。分别有 18% 和 12% 的患者出现胃轻瘫(p = 0.21),16% 和 8% 的患者出现腹泻(p = 0.11)。两组均未出现呕吐。结论:与聚合配方相比,半元素不能提高每日能量摄入和胃肠道对肠内营养的耐受性。关键词:营养,半元素,脑损伤,危重病。

  背景:重症监护室(ICU)收治的脑损伤危重患者因其代谢率和蛋白质分解代谢增加,面临着能量和蛋白质不足的高风险。两者均与较高的感染并发症发生率、延长ICU和住院时间、不良的神经预后和较高的死亡率相关。血流动力学稳定的患者入住 ICU 48 小时内应开始给予肠内营养,以改善患者预后。尽管已发布相关指南,但脑损伤危重患者仍然面临着营养不良,能量和蛋白质摄入不足的问题。已经提出来解释这一点的各种原因之一是 EN 不耐受,这与胃肠道活动能力受损有关,这在脑损伤危重患者中很常见。事实上,据报道,分别有 20% 和 70% 的脑损伤危重患者在 EN 期间出现胃轻瘫和腹泻。胃轻瘫和腹泻可能会改变营养吸收并导致能量和蛋白质摄入不足,并可能使医生考虑停止EN。

  考虑到与半元素配方相比的成本效益,对于需要 EN 的非选择性危重患者,建议将标准等渗聚合配方处方作为的首选方案。然而,因半元素溶液含有短肽和主要是中链甘油三酯 (MCT),其可能提高胃肠道耐受性。蛋白质水解成肽可能促进胃排空,而高比例的 MCT 可能会提高胃肠道耐受性并降低腹泻率。迄今为止,脑损伤危重患者对于半元素配方的疗效和耐受性仍未得到具体解决。

  本研究的假设是,与聚合配方相比,半元素配方的胃肠道耐受性会更好,从而改善脑损伤危重患者的早期能量和蛋白质摄入。该研究的目的是比较半元素配方与聚合配方在脑损伤重症患者中的疗效和耐受性。方法:

  研究设计:我们于2012年6月至2019年2月在贝桑松大学医院(法国贝桑松)内外科重症监护病房进行了一项随机单中心开放标签优势试验(EudraCT/ID-RCB 2012-A00078-35)。该研究方案得到了机构审查委员会(CPP EST-II,贝桑松大学医院第12/639号)和法国国家保健品安全局(ANSM,法国圣丹尼,2012-A0007835号)的批准。这项研究是根据法国关于生物伦理的立法进行的。结果的报告遵循综合试验报告标准(COSORT)指南。

  数据和终点测量:入院时记录人口学资料、既往病史、简化急性生理学评分(SAPS) II评分和格拉斯哥昏迷评分(GCS)。每12 h测量胃残量。研究期间每天收集体重、镇静(yes/no)、儿茶酚胺输注(yes/no)和EN给药总体积。计算每日给药EN的剂量与根据方案规定的剂量的比值。

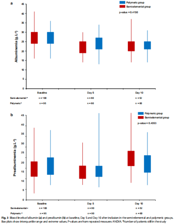
  在纳入时、纳入后5天和10天,测量血中肝酶、白蛋白和前白蛋白水平。

  主要终点是纳入后 3 天达到每日能量摄入目标的 60% 和纳入后 5 天达到每日能量摄入目标的 100% 的患者百分比。这些阈值对应于研究开始时已发布的指南中规定的营养目标。

  次要终点是 EN 的耐受性、EN 的营养影响、28 天的发病率和 28 天和 60 天的死亡率。耐受性通过胃轻瘫、呕吐和腹泻的发生率以及血液中肝酶的水平改变的发生率来评估。胃轻瘫被定义为胃残留量 > 500 ml,腹泻是连续 2 天每天超过 3 次异常稀便或水样便。血液中肝酶水平的改变被定义为天冬氨酸转氨酶(AST > 34 IU/l)或丙氨酸转氨酶(ALT > 65 IU/l)(转氨酶改变)的异常值,和/或研究期间γ-谷氨酰转移酶值异常(GGT > 64 IU/l)(γ-谷氨酰转移酶异常)。通过每天提供的能量和蛋白质摄入量以及在基线、第 5 天和纳入后第 10 天测量的血白蛋白和前白蛋白的变化来评估营养影响。在 28 天时考虑的发病事件包括有创机械通气的持续时间、在 ICU 的停留时间和肺炎的发作。根据法国指南,肺炎的定义为:发热 > 38.3 °C(无任何其他原因)、脓痰或气管吸入、氧合下降或需氧量增加以及胸片上新的或进行性肺浸润。在研究结束时,由独立数据管理员评估所有收集数据的可靠性。研究人群:纳入标准为初始 GCS ≤ 8 且预期机械通气持续时间 > 48 小时的脑损伤危重患者。排除标准是:年龄 < 18 岁,前 14 天内有腹部手术史,入ICU后 36 小时内的血流动力学不稳定(定义为儿茶酚胺输注速度增加,去甲肾上腺素输注速度 ≥ 3 mg/h 或肾上腺素输注速率 ≥ 1 mg/h)、半卧位或胃管插入禁忌症、怀孕和/或哺乳、拒绝配合的患者和受法律保护的成年人。在纳入之前从亲属那里获得了书面知情同意书。如果在纳入时无法联系到代理人,则启动延迟同意程序。随机化和研究干预:

  纳入研究的患者在入住 ICU 后 36 小时内使用计算机生成的随机列表(比例 1:1;块大小为 4)随机分配到聚合组或半元素组。聚合组接受高热量 (1.5 kcal/ml) 聚合配方 (Sondalis HP?, Nestlé Healthcare Science, Vevey, Switzerland),每 100 ml 包括 7.5 g 蛋白质、5.8 g 脂肪和 17.0 g 碳水化合物(渗透压: 310 摩尔/升)。半元素组接受高热量 (1.5 kcal/ml) 半元素配方 (Peptamen AF?, Nestlé Healthcare Science, Vevey, Switzerland),每 100 ml 包括 9.4 g 水解成短肽的蛋白质、6.5 g脂肪和 13.5 g 碳水化合物(渗透压:380 mOsm/L)。EN溶液的成分和营养成分详见“附录1”。使用不透明信封分配等热量和等体积溶液(聚合或半元素配方)。随机分配的溶液用于EN(研究期)的前10天。研究者不知道随机化分组的大小。由于聚合溶液和半元素溶液的包装和外观差异很大,研究者和护理人员都不知道治疗分配。被分配的组被记录在患者的医疗档案中,并可供负责该患者的所有护理人员使用。

  所有患者于下午 6 点在 ICU 入院后 36 小时内开始 EN,并通过胃管使用输液泵在 24 小时内连续泵入。两组均按照相同的标准化方案进行 EN(参见“附录 2”)。该方案于 2012 年在 ICU 实施,并符合研究开始时的指南。为了使这个护士驱动的方案易于实施,每日能量摄入目标是 1512 或 2268 kcal,因此泵速是 21 ml/h 的倍数(42 ml/h,即 对使用洛伦兹公式估计理想体重≤60 kg 的男性和女性热量摄入为1512 kcal/天,或 63 ml/h;其他人每天 2268 kcal)。这两个每日热量摄入目标尽可能接近30 kcal/kg 的每日热量。控制初始泵速为21 ml/h,每12 h根据胃残留量逐步调整21 ml/h,以达到营养目标。如果胃残留量 > 500 ml 超过 12 小时,则降低泵速,必要时停止 EN。一旦胃残留量≤ 500 ml,便以 21 ml/h 的泵速恢复 EN(参见“附录 2”)。 如果患者出现呕吐,则停止 EN 12h并在12h后以 21 ml/h的泵速恢复。在胃轻瘫和/或呕吐的情况下,静脉给予三天的促动力药(红霉素 3 mg/kg 每天 3 次和甲氧氯普胺 10 mg 每天 3 次)。如出现腹泻,则按以下方案处理:首先,在24 h内,将 500 ml 生理盐水加入 EN 溶液中,以增加消化道中的钠浓度,并根据上述方案增加 EN 的速率;如果症状持续存在,则在接下来的 24 小时内将泵速降低 21 ml/h,然后开始给予洛哌丁胺 4 mg,每天 2 次,直至腹泻消失。如果患者需要转移到手术室、或于ICU 外进行诊断检查或拔管,则停止 EN。然后以与停药前相同的速度尽快恢复 EN。当神经功能恢复至允许撤出有创机械通气和恢复经口饮食时,停止 EN。研究期间如果患者从ICU出院,或随机分组达到10天,以最先发生的时间为准,予以停止EN。之后,如果仍然需要,患者根据ICU中使用的常规方案接受标准EN。在研究期间,患者在必要时使用咪达唑仑和舒芬太尼进行镇静。没有患者使用异丙酚镇静。数据分析

  对我院接受相同聚合物配方EN(数据未显示)的患者进行回顾性分析,并基于此计算样本量。聚合组中达到主要终点的患者的预期值为 50%。半元素组主要终点的预期值为 70%,α 风险为 0.05,β 风险为0.02,并且失访率10%,每组103例。

  采用Shapiro-Wilk检验定量资料分布的正态性。连续变量用平均值±标准差或中位数(四分位范围25-75%)表示,分类变量用百分比表示。使用卡方检验或Fisher检验对定性变量进行组间比较,并酌情使用Student t或Mann-Whitney U检验对定量变量进行检验。使用重复测量方差分析比较组间每日能量和蛋白质摄入量、血液白蛋白和前白蛋白水平的重复测量。该分析既没有针对其他变量进行调整也没有分层。未进行亚组分析。所有统计分析均使用 SAS 软件 9.4 版(SAS Institute Inc.,USA)进行,P值为 0.05。结果研究人群:

  研究共纳入 206 名患者,最终分别对100 名和 95 名半元素组和聚合组的 患者进行统计分析。排除的原因如图1 的流程图所示。患者的基线特征在组间相似(表1)。两组的每日热量摄入目标(每天 1512 或 2268 大卡)和每天达标百分比见“附录 3”。每日能量和蛋白质摄入量如图 2 所示。在研究期间,半元素组的每日蛋白质摄入量显着更高(重复测量方差分析的 p 值 = 0.0067)。半元素和聚合基组平均每日热量和蛋白质摄入量分别为 20.2 ± 6.3 和 21.0 ± 6.5 kcal/kg/天(平均差 (MD) [95% 置信区间 (CI)] = - 0.7 (- 2.6 到 1.1);p = 0.42) 和 1.3 ± 0.4 与 1.1 ± 0.3 g/kg/天 [95% 置信区间 (CI)] = 0.2 (0.1–0.3);p < 0.0001) 。主要结果:

  在所分析的195名患者中,主要终点在两组之间没有显著差异(半元素组和聚合物组分别为46例(46%)和46例(48%);[相对风险(RR)(95%CI)=1.05(0.78-1.42);p=0.73])。因为早期的神经恢复使得能够恢复经口饮食,所以排除那些在纳入后第3天(7名患者)和第5天(另外28名患者)停用EN的患者后,这一结果仍然没有改变。在接受 EN 至少 5 天的 160 名患者中,半元素组和聚合组分别有 46 名(58%)和 46 名(57%)患者达到了主要终点 [RR (95% CI) = 0.98 (0.75–1.27);p = 0.85]。半元素组和聚合组分别有 14 名(14%)和 11 名(12%)患者因转移到手术室或在 ICU 外进行诊断调查而停用 EN(p = 0.61)。在EN开始后,根据方案规定的100%目标体积给药的中位时间在半元素组和聚合物组分别为1[1-3]天和1[1,2]天(p=0.07)。次要终点:

  胃肠耐受性、发病率和死亡率的数据见表2。胃瘫和腹泻的发生率在不同组之间没有显著差异(表2)。在研究期间,两组患者都没有出现呕吐。图3显示了血白蛋白和前白蛋白随时间的变化过程,两组之间没有显著差异。讨论

  这项单中心随机试验的结果表明,与聚合物配方相比,半元素配方并不能改善脑损伤危重患者的肠内营养耐受性和早期能量摄入。半元素配方增加了每日蛋白质摄入量,但对血液白蛋白或前白蛋白水平没有影响。

  半元素配方似乎并不能给ICU患者带来包括胃肠道耐受性在内的任何有利影响,并且需要至少减少7%的胃肠道不耐受病例,才能在ICU患者中具有成本效益。考虑到缺乏明确的临床益处,并且与聚合物配方奶粉相比价格较高,Espen指南建议不应将半元素配方奶粉作为ICU患者的一线EN解决方案,但可以在胃肠功能障碍的高危患者中进行进一步研究。颅脑损伤危重患者合并颅内压增高是发生胃轻瘫的高危因素。我们的主要生理假设是蛋白质水解成短肽可能促进这一人群的胃排空。有研究报道创伤性脑损伤模型大鼠肠黏膜早期功能和结构改变,包括绒毛萎缩。据报道,半元素配方奶粉对身患导致绒毛萎缩的疾病的营养高危的非ICU患者具有营养和临床益处,如克罗恩病、短肠综合征或急性和慢性胰腺炎。该研究是第一个针对半元素肠内营养在脑损伤危重患者中的有效性和耐受性的随机对照试验。在这一人群中已经发现了胃肠功能受损的几种机制。这种复杂的病理生理学可能解释了本研究中观察到的与聚合配方相比,半元素对胃肠道耐受缺乏有益影响。半元素配方中较高的脂肪和蛋白质含量以及较高的渗透压可能是两组之间缺乏差异的另一个原因,因为脂肪、蛋白质和渗透压可减缓胃排空,渗透压可促进渗透性腹泻。

  就优势而言,与聚合配方相比,半元素配方使得每日蛋白质摄入量显着增加。这种增加仅仅是由于半元素溶液的蛋白质含量较高。理论上,高蛋白质摄入可能会减轻 ICU 获得性肌肉无力,并通过促进蛋白质合成和保持肌肉质量来改善长期功能结果。几项观察性研究表明,高蛋白质摄入量可能会提高发病率和死亡率。然而,高蛋白摄入与ICU患者获益的相关性仍然存在争议,因为在其他观察性和随机对照研究中没有报道有益的影响,甚至观察到有害的影响。尽管如此,Espen指南建议危重患者每天应逐渐摄入1.3g/kg蛋白质。然而,用标准的解决方案实现这一目标仍然具有极大的挑战性,需要非常高的蛋白质配方,以避免在提供高蛋白质摄入量的同时过度喂养。同样,通过促进肠道功能和蛋白质吸收,在 ICU 患者的高蛋白质摄入策略中应考虑半元素或元素溶液。此外,除考虑蛋白质摄入外,据报道含有 100% 水解蛋白的肠内配方奶粉对非 ICU 老年急性缺血性卒中患者具有有益的抗炎作用,这些抗炎作用是否可以在脑损伤严重受伤的患者中给观察到,以及他们是否可能改善临床结果从未被研究过。

  此外,我们假设改善胃肠道耐受性会导致热量摄入增加和营养状况改善,改假设看可以在较高的白蛋白和前白蛋白血液水平反应出。事实上,白蛋白和前白蛋白是阴性急性期蛋白,低值可能是由于对炎症的反应,而不是营养状况的改变。这可以解释两组之间白蛋白和前白蛋白血液水平缺乏差异。研究的局限性

  这项单中心研究是在两个独立的 ICU 中进行的,不确定使用不同的 EN 方案是否会观察到相同的结果。此外,使用了两个每日热量摄入目标而不是单独计算。最近的指南确实建议使用间接热量法将每日能量摄入量调整为能量消耗量,但在一项包括来自 341 个 ICU 的 1045 名脑损伤患者的国际观察性研究中显示,这一建议仅适用于 1% 的患者。此外,本研究中使用的 EN 方案并未导致患者进食不足,并且两组中约 25% 的患者略微过度进食,即能量管理在定义目标的 110% 至 120% 之间。然而,本研究旨在比较两种不同肠内营养配方的胃肠道耐受性,而不是评估 EN 方案。事实上,尽管使用了不同的方案,与之前发表的研究报告相比,胃轻瘫的发生率相似,出现腹泻的比例较低。这可以通过不同研究中腹泻定义的异质性来解释。最后,正如之前发表的大多数在危重患者中进行的营养治疗随机对照试验一样,该研究主要终点不是死亡率等硬性终点。结论

  与聚合配方相比,半元素配方并未改善脑损伤危重患者的肠内营养和早期热量摄入的胃肠道耐受性。这些结果表明,标准等渗聚合物配方可能是需要 EN 支持的脑损伤危重患者的首选解决方案。附录1:附录2:附录3:

  

  原文链接

  https://pubmed.ncbi.nlm.nih.gov/33472680/

  

  版权申明:本文为中南大学湘雅医院重症医学科,如需转载请注明出处。

  主管部门:中南大学湘雅医院重症医学科

  合作部门:国家老年疾病临床医学研究中心(湘雅医院)

                   湖南省重症医学临床医学研究中心

                 湖南省心脏健康中心

  翻译:徐标祥  谭亚鑫

  编辑:刘姿岑

  校对:徐道妙

  审核:张丽娜  赵双平