如何克服严重的拖延症?
相似问题:
如何克服拖延症,可以采取哪些行动?人是怎么变强的?

“拖延症”这种几乎每个人都挂在嘴边的“病”,其实在我们专nie的医生看来,其实应该叫拖延行为,因为按照现有标准还达不到心理或精神疾病的级别。1.拖延行为
“明日复明日,明日何其多。我生待明日,万事成蹉跎”。古人的这首《明日歌》很能够描述习惯拖延人的状态了,哦不对,应该是常态。拖延行为是个体以推迟的方式来逃避执行任务的一种行为倾向,是一种自我妨碍行为,会导致不良的行为后果和消极的情绪体验。根据一项关于拖延行为的调查显示,至少有一半的学生有着长期的行为障碍性拖延行为,而在普通人群中,有25 %的人报告自己有着严重的拖延行为。
在拖延者身上普遍存在一个共性→“拖延怪圈”,陷入了一个拖延行为迷宫,往往返返就是走不出来。也就是说,你这件事情一拖,就会影响下一件事情的进度,进而影响你几乎所有事情的进度……然后一边懊恼一边拖延着。
2. 目前拖延≠心理、精神疾病
拖延是由某些生理机制导致的将任务不理性延迟的行为,虽然可能带来不良情绪体验或其他不良后果,但与心理和精神疾病有一定的区别:目前拖延被认为是一种比较顽固的心理和行为习惯,拖延者的心理现象及其活动规律并没有发生明显异常,按照现有标准不能说拖延就是种心理疾病或精神疾病。而且对大部分拖延行为来说,通过改变一些与之相关的主客观因素(如设立奖励机制、减少环境中的干扰因素等),拖延行为可以被有效改善。但大家要注意了,当自己的拖延行为根深蒂固难以消解,给生活工作带来很大影响时,就要考虑是不是该去求助心理医生了。

3. 拖延也不是百害无一利
某些情况下的主动拖延反而可以提高做事效率,说人话就是,截止日期就是生产力。比如说,写毕业论文的人肯定深有体会,前半年坐在电脑面前觉得敲几个字都是煎熬,但最后一个月,效率简直出奇地高,瞬间灵感顿现,一天好几千字不成问题!再比如,出于提高效率的目的,主动将学习任务等推迟到截止日期前做,对某些人来说可以改善学习效果。(我还不晓得你们,现在肯定隔着屏幕拼命地点头哇?!)

要说拖延行为有哪些具体表现,反正一个拖字可以把一切都解释了,但下面这7点要特别安利给你们,这是《拖延心理学》的作者Jane B. Burka、 Lenora M. Yuen提出的“拖延怪圈”,看看是不是每一点都戳中了自己。
1. “这次我想早点开始“
刚接到一个任务,总觉得自己这盘一定可以有条不紊地完成。但是一段时间后,却发现这一次情况比上一次好不了多少,开始焦虑。
2. “我得马上开始”
早点开始的幻想已经破灭,你已经焦虑,感到压力,但此时离截止时间仍有一段时间,还抱有一线希望。
3. “我不开始会怎么样呢?”
又过去了一段时间,你还是没有开始干活,一种不祥的预感取代了所有剩余的一线希望,脑海中不禁浮现那些可能会破坏你生活的可怕后果,开始恐慌,担忧和厌烦,后悔自己为什么不早点开始。
4. “还有时间”
虽然你感到愧疚、后悔,但继续抱着还有完成任务的希望,开始寻找自我安慰。
5. “开始绝望”
愧疚、痛苦无济于事,期盼的希望也没有出现,你已经绝望,开始怀疑自己是不是根本就没有能力,天生就比别人差。
6. 最后的抉择:做与不做
到了这个时候,你不得不做出一个选择,是背水一战还是彻底放弃。但无论选择哪一个,内心都是痛苦的,你煎熬得莫奈何。
7. 我以后再也不会拖延了
此时的你筋疲力尽,你的意志也非常坚定———毅然决然的下定决心从此不再拖延! 然鹅下一次任务出现,然后你又继续1-7的循环……
虽然长期的拖延行为不是一种病,但如果因为1~7的这种拖延怪圈,给自己的心理带来一些负面影响,甚至产生自我怀疑,而这样的负性情绪长期下去的话,肯定会给工作、生活带来一定影响。

在我们的周围,总有一部分人做事风风火火,说了啥子事情必须马上做,那为啥子这些人就可以做到不拖延呢?对于拖延行为到底是怎么样形成的,其实现在我们还没搞清楚,但目前有一些关于拖延行为生理机制的相关研究,可以跟大家分享一下——许多研究者认为拖延与一种或几种稳定的人格特质密切相关。其中“尽责性”和“神经质”是影响拖延最主要的人格特质。神经质高者不仅会体验到更多的焦虑、担忧, 还会有一些非理性信念及难以控制的冲动, 他们更容易感受到外在压力, 而在完成任务时的不适和压力就可能导致拖延行为。而尽责性高的人做事坚决果断, 意志坚强, 有很强的“成就动机”, 这些特点让他们在完成任务时有目标导向, 因而不易拖延。此外,还有极少量研究探讨了拖延行为的神经基础, 这些研究强调了边缘系统和前额叶皮层的相互作用对拖延行为的影响,不过,这还没有定论,仍需进一步证实。



友情提示,以下这段阅读难度系数为:★★★★
1. 拖延的主观因素:任务回避
① “任务回避”是指在我们做任务过程中觉得不愉快的行为,例如较低的自主性、挫折感、怨恨和厌倦,我们就可能回避甚至不想做这个任务。② 大量的证据表明,特质拖延症(当做到某种事情的时候就一定会拖延,比如洗衣服)和不喜欢某项任务之间存在很强的正相关关系。说人话就是,你越不喜欢一件事,你就越不想去做,那么拖延的几率就会大大增加。
2. 拖延的客观因素:时间动机理论客观因素具体包括:个人的自信、任务的奖惩、奖惩的时间跨度、自我控制与冲动。① 这里提到的拖延不是指什么事情都拖延,而是从没有拖延到拖延:是从0到1 的跨越,而不是从1到∞。② 对自己取得成功的能力缺乏自信。这是一个很重要的因素,如果任务开始,你就觉着自己不能成功,便会失去动力,也就会造成拖延。③ 任务的奖惩具体是指当完成任务会得到正面的“奖励”,以及完不成会带来的“惩罚”。比如你按时完成工作就有额外奖金,而没有完成就会被扣钱一样。而你为了避免扣钱可能就不会拖延,这在很大程度上影响了拖延行为。④ 奖惩的时间-回报遥不可及失去了真实感或价值感。说人话就是,如果你工作按时完成,老板立马给你对现,你多半再接再厉不会拖延,但如果等到好几个星期之后再对现,甚至把对现改成发张荣誉证书,你马上就会觉得没有那么深刻的荣誉感和幸福感。为啥子现在好多人都沉迷于游戏,其中一个原因就是在游戏中你表现好立马就会得到加分奖励;而为啥子不沉迷于学习,就是因为学习需要一步步向前走,走很久才会得到回报。虽然这个回报本身是巨大的,但由于这个时间的跨度,你会忽略掉它本身的巨大价值,所以你就会出现拖延。这在另一方面也表明了拖延者不考虑未来事物的价值。⑤ 难以自我约束,容易冲动或分心。冲动与自我约束是人体内相互打架的机制:自我控制相当于“天使”,要求人们抵制诱惑去完成未来的任务;而冲动则相当于“魔鬼”,会干扰这一过程,阻止我们去完成任务,这也是影响拖延的另一个因素。
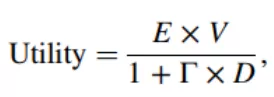
再次友情提示,接下来的内容阅读难度为★★★★★ 把上面提到的这些因素归类到时间动机理论模型中得到一个公式:

其中E是期望值(个人的信心)、V是完成任务给你带来的好处、D是得到奖励时间的长短 、Г是你的内心的“魔鬼”想要拖延的冲动欲望。意思就是,公式右边分子部分对你做事的效率是正面影响,而分母部分是负面影响,想要尽量避免拖延,那就把分母缩小,分子变大。你们懂了三?!(挑眉.JPG)

问:“医生,其实我觉得拖延症没有那么复杂,就是懒嘛?只要把这个问题解决了,肯定也就不拖了三!”
答:你说得撇脱,全世界的专家都没抻展的问题,你一个“懒”字就给人家下定论了!在这里,我们要郑重地、严肃地告诉大家,拖延症并不是懒!娃儿、下属、学生做事情出现拖拖拉拉,都认为是别个懒,但这是你们对拖延行为最大的误解!随便举个例子,比如,兴趣。在我们对任务本身不感兴趣,但迫于压力或为了逃避惩罚不得已而完成任务时,就难以享受到其中的乐趣,不能从中获得自尊感和价值感,而更多的是感到焦虑和畏惧,倾向于以拖延来缓解这种不适感。就打比看书这件事,是不是喊你切看专nie书、看英语书、看政治书,整个人就焦迷烂眼的,半天翻不到一页,而如果是喊你去看漫画书、侦探小说,言情小说,还不是几哈就拿起来手不释卷了啊!再比如,自我贬损等非理性观念、缺乏时间管理的策略等也可能导致拖延。 所以,以后再也不要粗暴简单地把拖延等同于懒!



不管你自己觉得是“重度拖延者”还是”间歇性拖延”,甚至是“建设性拖延”或“战略性拖延”,来,做一下这张【一般拖延量表】,看看自己能得多少分。PS:针对下面的20个问题,请用1-5分别对每一个陈述和自己相符合的程度打分。做完之后,请将每道题的得分加起来。

如果测试出来总分都超过70分了,那就是高拖延状态了。虽然拖延状态不是病,但是回忆一下你老板、老师、老妈、老婆的脸色,想要保命,肯定还是需要做点啥来改善一下自己的拖延状态的。

拖延者主要存在恐惧失败和完美主义这两种不合理信念。完美是每个人都可能追求的境地,但是当个体过度追求完美而不顾及严重后果时,就出现了临床完美主义,就会导致抑郁、社交隔离、失眠、强迫行为等消极后果。不要对自己要求过于苛刻,不要过分关注未能做好的事情而忽略已经取得的成就。适当地提高自我认知,增强自信也是减少拖延行为的有效方法。
在大五人格中,责任心维度是用来衡量个体做事条理性,行事果断性的。责任心维度得分高的个体表现为行事谨慎,认真负责,勤奋努力,精益求精;反之,得分低者表现为好逸恶劳,得过且过。所以,应该培养自己的责任意识,不断提高自我的知识结构,锻炼抗挫折的能力,只有克服困难,才能得到应有的回报。
可以通过如果自己完成任务就奖励自己吃一顿大餐、玩一把游戏等奖励,可以很好地提高自己对任务的积极性,更好的摆脱拖延。
可以平时通过运动、健身,和朋友交流、聚会、阅读、读华西医院辟谣小分队的科普等等,用正面的活动来唤醒积极的情绪来克服拖延。

最好的解决办法是给自己列一个时间安排表,将每天的任务和剩余时间安排得有条有理。这样一个时间安排表能够时刻提醒自己,要提高自己的抗干扰能力,不将注意力集中在无用的事情上,能够在很大程度上减少拖延行为。
一个拥有对来为的自己拥有一个明确定位的人往往表现出的拖延现象会比较少,因此在学习工作之中设立一个自己想要达到的目标可以有效地解决拖延问题。

参考文献
[1] 陈洪岩.拖延行为的心理学分析[J].中国民康医学,2009,21(20):2573-2574.[2] [美]简·博克, 莱诺拉·袁. 拖延心理学[M]. 蒋永强, 陆正芳译. 北京:中国人民大学出版社, 2009:12-15.[3] 毕翠华.拖延的分类、理论与影响因素[J].保健医学研究与实践,2016,13(06):82-87.[4] 宋梅歌,苏缇,冯廷勇.拖延行为的时间取向模型[J].心理科学进展,2015,23(07):1216-1225.[5] Seo E H.Cramming, active procrastination, and academic achivement[J]. Social Behavior and Personality, 2012, 40(8):1333-1340[6] Choy E E H, Cheung H. Time perspective, control, and affect mediate the relation between regulatory mode and procrastination [J]. PLoS One, 2018, 13(12): e0207912.[7] Duckworth A L, Milkman K L, Laibson D. Beyond Willpower: Strategies for Reducing Failures of Self-Control [J]. Psychol Sci Public Interest, 2018, 19(3): 102-29.[8] Zhang S, Liu P, Feng T. To do it now or later: The cognitive mechanisms and neural substrates underlying procrastination [J]. Wiley Interdiscip Rev Cogn Sci, 2019, 10(4): e1492.
作者:
指导老师:
图片源自网络